Hardness in manufacturing and engineering is defined by resistance to indentation, and it is determined by measuring the permanent depth of the indentation; which is known as a hardness test. Brinell Hardness Test was the first used and is a widely accepted hardness test. In this article we are going to dig a little deeper into explaining the Brinell Hardness Test.
J.A. Brinell proposed first proposed the hardness test in 1900. Brinell’s desire to have a consistent and fast means of determining material hardness grew during his involvement in several Swedish iron companies. The concept he proposed was a steel ball pressed into the surface to create an indentation. The smaller the indentation, the harder the material. From this, the Brinell hardness number and Brinell hardness scale were created.
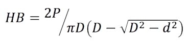
The Brinell hardness number (HB) is the load divided by the surface area of the indentation. The diameter of the impression is measured with a microscope with a superimposed scale. The Brinell Hardness Number HB is computed from the equation:

where
- P is the applied load of 3,000, 1,500, or 500kg.
- D is the diameter of the ball in mm. (10mm)
- d is the mean diameter of the indentation in mm.
- The units of HB are kg/mm^2.
More recently, the Brinell Hardness Tester uses a tungsten carbide ball at heavy loads of up to 3,000 kg instead of a steel ball. The indentation is measured with a low-powered microscope after removal of the load.
The current standardized Brinell hardness scale is defined in ASTM E10. Currently, it is most commonly used to test materials that have a structure that is too coarse or that have a surface that is too rough to be tested using another test method, e.g., castings and forgings using very high-test loads. The main drawback of the Brinell is that they’re larger permanent indentations in the samples and this test is slower than other tests.
The Brinell test introduced the production phase of indentation hardness testing and helped pave the way for other, more relevant hardness testing methods. And although the Brinell hardness test was the first widely used hardness testing method, it still has its use in today’s manufacturing and engineering.
Metallurgical Supply Company (METSUCO) has been a leading supplier of Brinell hardness testing machines and blocks for over 30 years. We serve not only industries such as oil and gas, aerospace, automotive, and heavy manufacturing, but also universities and quality testing labs. Call 713-827-0700 or email sales@metsuco.com with inquiries.
